Әлеуетті сатып алушыларға
«QazaqGaz Onimderi» ЖШС Серіктестіктің мүлкін мемлекеттік мүлік тізілімінің веб-порталында өткізілетін электрондық аукцион арқылы сату туралы хабарлайды.
Сауда-саттықтың өткізілу күні мен уақыты: 2025 жылғы 28 қазанда сағат 10:00-де.
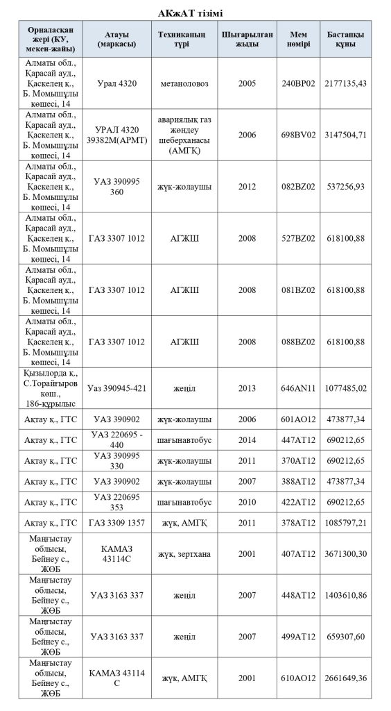
Сауда-саттықтың мәні: автокөлік және арнайы техника – 17 бірлік (техниканың тізімі қоса беріліп отыр.
Сауда-саттықтың түрі мен әдісі: электрондық аукцион, «бағаны көтеру» әдісі.
Қатысу алаңы: мемлекеттік мүлік тізілімінің веб-порталы –
Сауда-саттыққа қатысу үшін көрсетілген веб-порталда алдын ала тіркеуден өту қажет.
Электрондық аукционды өткізу шарттарымен, сондай-ақ сауда-саттыққа қатысушыларға және/немесе мүлік сатып алушыларға қойылатын қосымша талаптармен Мемлекеттік мүлік тізілімінің веб-порталында орналастырылған мүлікті сату бойынша электрондық сауда-саттық өткізу регламентінен танысуға болады.
Қызығушылық білдірілген жағдайда, Серіктестік сату Серіктестік сату объектілеріне олардың орналасқан жері бойынша кіруді ұйымдастыруға дайын.
